“Hello, Tech Trailblazers! 🚀 Buckle up, because today we’re diving into the world of tech with a twist — imagine it’s narrated by Homer Simpson from The Simpsons. 🍩 So grab your donuts, channel your inner ‘D’oh!’ moments, and let’s get cracking! Or should I say, let’s ‘deploy’ into this adventure? 😏”
What is Deployment strategy ?
💤Boring Version: Deployment strategies ensure software updates are delivered with minimal disruption. Their importance lies in maintaining service reliability while introducing new features.
😂 Funny Version: Deployment strategies are like the dynamics in Game of Thrones: you need to seat a new king (release) on the throne without triggering a civil war (outages). It’s all about power shifts without chaos.
Deployment Strategy Evolution: A Comedic Take 🎭
1. Dino Tech Age 🦕 (1970s–1990s)
- Deployment was as manual as assembling IKEA furniture but without instructions.
- Engineers rebuilt the entire system every time, leading to countless “oops” moments.
- System downtime? Oh, it was practically a vacation — sometimes lasting weeks!
- Technology enablers? If you can call ancient mainframes and faxes “technology,” sure.
2. Script Kiddie Era 🤓 (1990s–2000s)
- Deployment scripts were introduced, but they worked about as consistently as your New Year’s resolution.
- Rollbacks? Hah, good luck with that! “If it breaks, we start over.”
- At least virtual servers showed up, making the chaos a bit more manageable.
3. Netflix-and-Deploy Era 📺 (2010s–Present)
- Enter the cool kids: Kubernetes, Docker, and “Canary” deployments (no actual birds involved).
- Downtime became a thing of the past, and traffic management got smarter than your GPS.
- However, now deployments require advanced YAML skills, and your wallet might shed a tear over the costs.
Transformation: Life Before and After Deployment Strategies 😂
Before Deployment Strategies
- Downtime was unavoidable. Users went for coffee; engineers went for stress-relief therapy.
- Every deployment felt like an “all-or-nothing” gamble — spoiler: it was usually “nothing.”
- Testing was basically guessing: “Let’s hope this works… fingers crossed.”
After Deployment Strategies
- Downtime? Never heard of it. Systems keep running like they’ve had an espresso shot.
- Deployments are gradual, controlled, and way less anxiety-inducing.
- Rollbacks are as easy as Ctrl+Z — instant and headache-free.
Goals of Modern Deployment Strategies
1. Minimize Risk
Boring Version 💤
- Objective: Reduce potential system failures during deployment.
- Implementation Techniques:
- Canary deployments for gradual user exposure.
- Blue-Green strategies to maintain a backup environment.
- Gradual traffic shifting to identify issues early.
Funny Version 😂
- “We broke production last time, let’s not do that again.”
- Canary deployments let you test with just a few unsuspecting users. Blue-Green feels like a magic trick — poof, the new version is live!
2. Maximize Availability
Boring Version 💤
- Objective: Ensure continuous service availability with no downtime.
- Implementation Techniques:
- Rolling updates to maintain uptime while transitioning.
- Multi-environment strategies for smooth handovers.
- Redundant systems to provide failover options.
Funny Version 😂
- Zero downtime is the mantra. Rolling updates keep things running smoothly, like a never-ending jazz solo.
- Redundant systems mean there’s always a backup, so no more “everything is on fire” moments.
3. Ensure Performance
Boring Version 💤
- Objective: Validate system capabilities under real-world conditions.
- Implementation Techniques:
- A/B testing to compare performance metrics across versions.
- Shadow deployments for stress-testing without user impact.
- Comprehensive monitoring to identify bottlenecks.
Funny Version 😂
- Shadow deployments test the system so quietly even ninjas are impressed.
- A/B testing pits two versions against each other while users unknowingly play judge.
4. Continuous Delivery
Boring Version 💤
- Objective: Enable rapid and reliable updates without disrupting operations.
- Implementation Techniques:
- Automated CI/CD pipelines to streamline the release process.
- Infrastructure as Code (IaC) for consistent and reproducible environments.
- Automated testing to catch issues before deployment.
Funny Version 😂
- Automated pipelines now handle deployments faster than you can say “git push.”
- Infrastructure as Code turns servers into well-behaved, self-sustaining entities.
5. Reduce Complexity
Boring Version 💤
- Objective: Simplify deployment processes for efficiency and scalability.
- Implementation Techniques:
- Containerization with tools like Docker for lightweight deployments.
- Orchestration platforms like Kubernetes for streamlined operations.
- Standardized deployment tools to reduce human intervention.
Funny Version 😂
- Kubernetes organizes deployments better than your closet.
- Docker lets you pack apps like snacks in neatly labeled containers.
Types of Deployment Strategies
1. Blue-Green Deployment
Boring Version 💤
Blue-Green deployment involves running two environments, Blue (live) and Green (new). Once the new environment is tested, traffic is switched from Blue to Green. This ensures minimal downtime and easy rollback.
Pros:
- Minimal downtime
- Easy rollback
- Allows for thorough testing before switching
Cons:
- Requires duplicate infrastructure
- Expensive to maintain two environments
- Can be complex to manage stateful apps
Example:
Current Production (Blue): – Version 1.0 running – Serving all live traffic
New Environment (Green): – Version 1.1 deployed – Tested and ready for deployment – Switch traffic when verified
Funny Version 😂
Blue-Green is like your favorite sitcom where one storyline (Blue) is running, and another (Green) is brewing in the background. Picture Ross dating Emily while Rachel is in the background working on her new life. Once Rachel is ready (Green), Emily (Blue) gets the boot. All the drama with none of the downtime!
Example: Ross: “We’re on a BREAK!” Blue (Ross) is in production until Green (Rachel) is ready to make her big comeback. Cue the laugh track! 😂

2. Canary Deployment
Boring Version 💤
Canary deployment releases new updates to a small user group first. If no issues arise, the rollout expands gradually until all users are on the new version.
Pros:
- Reduces risk by testing with a small group
- Easier to monitor and fix issues
- Provides real-world testing
Cons:
- Slower rollout
- Requires robust monitoring
- May create inconsistent user experiences
Example:
Deployment Stages: 1. 5% of users get new version 2. If no issues, increase to 20% 3. Then 50% 4. Finally, 100% rollout
Funny Version 😂
Canary is like testing a new pumpkin spice latte on the most basic crowd first. If Karen and her yoga crew approve, it’s safe for everyone. If Karen sends it back with a “too much nutmeg” complaint, you know it’s time to abort the mission faster than seasonal cheer disappears. 🎃☕

3. Rolling Deployment
Boring Version 💤
Rolling deployment updates the application incrementally across instances, ensuring continuous availability. 💤
Pros:
- No downtime
- Updates are gradual
- Cost-effective
Cons:
- Slower deployment process
- Can cause version inconsistencies
- Requires careful monitoring
Example:
Server Cluster: – 10 servers total – Update 2 servers at a time – Continuous service availability
Funny Version 😂
Rolling deployment is like a marathon relay race where each runner updates their sneakers mid-run. The race never stops, but you just hope no one trips over their shoelaces — or worse, forgets the baton (rollback)! 🏃♂️👟

4. Recreate Deployment
Boring Version 💤
Recreate shuts down the current version entirely before deploying a new one. Simple but involves significant downtime. 💤
Pros:
- Easy to implement
- Straightforward transition
- No version conflicts
Cons:
- Downtime impacts user experience
- Risky if the new version has issues
- Not suitable for high-availability systems
Example:
Deployment Process: 1. Stop all current servers 2. Deploy new version 3. Restart all servers
Funny Version 😂
Recreate is the IT version of unplugging your Wi-Fi router and waiting for the internet gods to bless you with connection again. The roommates scream, “WHY NOW?!” while you chant a prayer to the firmware update spirits. 🤦♂️📶

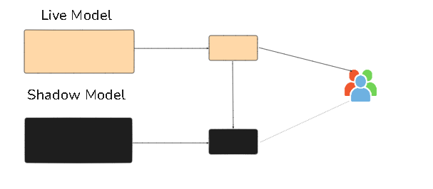
5. Shadow Deployment
Boring Version 💤
Shadow deployment tests a new version by routing duplicate live traffic to it, without affecting users. This helps validate performance.
Pros:
- No impact on real users
- Real-world testing conditions
- Detects issues early
Cons:
- Requires complex infrastructure
- Computationally expensive
- Difficult to manage
Example:
Traffic Flow: – 100% live traffic goes to current version – Duplicate traffic sent to new version – No actual user impact
Funny Version 😂
Shadow deployment is like Harry Potter using Hermione’s Time-Turner to practice Quidditch. The new Harry (v2) trains with real matches (traffic), but if he messes up, we pretend it never happened. 🧙♂️✨

6. A/B Deployment
Boring Version 💤
A/B deployment runs two versions simultaneously for different user groups to compare performance and gather feedback.
Pros:
- Collects valuable user insights
- Helps optimize user experience
- Reduces risk of full-scale failure
Cons:
- Implementation complexity
- Potentially confusing for users
- Requires robust analytics tools
Example:
User Segmentation: – Group A: Original version – Group B: New version – Compare user engagement metrics
Funny Version 😂
A/B is like dating two people at once: One (A) is into yoga and matcha, while the other (B) prefers Netflix and chill with pizza. You see who makes you happier, but let’s be real — being the B version in someone else’s dating life sucks. 🍕😂

Final Quote 😇
“Code, break, fix, repeat. Every bug squashed is a step closer to greatness. Keep pushing keys, tech wizard — you’re building the future, one line at a time!” 💻✨🚀
Blog Pundit: Sandeep Rawat Opstree is an End to End DevOps solution provider



